Skip to main content
FAQs
Complain
Problems
Search form
Search
X
+9779858420550/18105000047
thalaramun@gmail.com
थलारा गाउँपालिका
गाउँ कार्यपालिकाको कार्यालय, खोली बझाङ
Search form
Search
गृहपृष्ठ
हाम्रो बारेमा
संगठनात्मक स्वरुप
जन प्रतिनिधि
वडा जनप्रतिनिधि
कर्मचारी विवरण
हाल सम्मका प्र.प्र. अधिकृत
पूर्व कर्मचारी
श्रोत नक्सा
नीति कार्यक्रम तथा बजेट
बार्षिक बजेट तथा कार्यक्रम
योजना तथा परियोजना
विधुतीय शुसासन सेवा
घटना दर्ता
सामाजिक सुरक्षा
नागरिक वडापत्र
श्रमसंसार पोर्टल
नमुना निवेदन
उपभोक्ता समिति समबन्धि
अन्य निवेदनहरु
नमुना फारमहरु
तपाईको मत
प्रतिवेदन
आय व्यय विवरण
मासिक प्रगति प्रतिवेदन
चौमासिक प्रगति प्रतिवेदन
वार्षिक प्रगति प्रतिवेदन
लेखा परीक्षण प्रतिवेदन
अनुगमन प्रतिवेदन
सार्वजनिक सुनुवाई
सार्वजनिक परीक्षण
सामाजिक परिक्षण
प्रकाशन
सूचना तथा जानकारी
सूचना तथा समाचार
सार्वजनिक खरिद/बोलपत्र सूचना
स्थानीय राजपत्र
कर तथा शुल्कहरु
निर्णयहरु
गाउँसभाका निर्णयहरु
गाउँ कार्यपालिकाका निर्णयहरु
गाउँपालिकाका अन्य निर्णयहरु
जनसंख्या विवरण
वडा कार्यालयहरु
वडा नं १
वडा नं २
वडा नं ३
वडा नं ४
वडा नं ५
वडा नं ६
वडा नं ७
वडा नं ८
वडा नं ९
सम्पर्क विवरण
कार्यापालिका सदस्य
विद्यालय विवरण
समाचार
आधारभूत शिक्षा उत्तीर्ण (कक्षा-८) ग्रेडवृद्धि परीक्षा २०८२ नतिजा प्रकाशन सम्बन्धी सूचना।
फलामे टनेल माग सम्बन्धी सूचना।
सुन्तला बाली कार्यक्रमका लागि प्रस्ताव आव्हानको सूचना।
किसान सूचिकरणका लागि गणक पदपूर्ति सम्बन्धी सूचना।
रिक्त पदमा स्थायी शिक्षक सरुवा सम्बन्धी सूचना।
You are here
Home
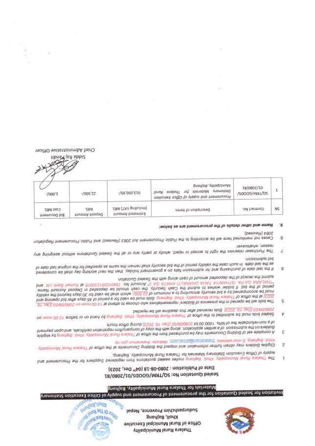
» Invitation for sealed quotation for the procurement and supply of Office execution Stationary Materials
Invitation for sealed quotation for the procurement and supply of Office execution Stationary Materials
Submitted on:
Mon, 12/04/2023 - 12:18
आर्थिक वर्ष :
८०/८१
Show in slider :
प्रकार:
सार्वजनिक खरीद / बोलपत्र सूचना
//